Ділення багаточленів (многочленів, поліномів). Розв’язування рівнянь за допомогою ділення багаточленів
Ділення багаточленів (многочленів, поліномів)
Ми вже розглянули дії додавання, віднімання та множення багаточленів. Розглянемо тепер ділення багаточленів.
На справді з діленням багаточленів ми вже мали справу. Ось декілька прикладів які допоможуть вам пригадати це:
x2 - 2x + 1x2 - 1; x3 - 8x2 + 2x + 4
Раніше, щоб спростити данні вирази нам необхідно було розкласти чисельник та знаменник на множники після чого скоротити на спільний множник.
Отже, коли ми маємо ситуацію де та є багаточленами і при цьому максимальний степінь змінної у багаточленові є більшим або таким же як максимальний степінь змінної у багаточленові то це можна назвати діленням багаточленів. Тобто, максимальний степінь змінної у чисельнику має бути більшим або таким же за максимальний степінь змінної у знаменнику. Наприклад:
x4 + x + 1x2 + x + 1; x2 - 2x - 3x2 + 1
Але коли у чисельнику максимальний степінь буде меншим, то це вже не буде ділення. Тоді, просто кажуть, що «багаточлен не можна поділити на багаточлен Наприклад:
x + 1x2 - 1
Хоча тут можна скоротити чисельник та знаменник на спільний множник але такі ситуації не вважають діленням багаточленів.
Також важливим моментом є те, що багаточлен не може бути тотожно рівним нулеві (не може бути постійно рівним нулеві).
Ділення багаточленів має багато спільного із діленням звичайних чисел. Коли ми маємо цілочисельне ділення, наприклад, то отримаємо При цьому ми можемо записати, що Аналогічно є у багаточленів. Якщо багаточлен ділиться націло на багаточлен то ми отримаємо в результаті багаточлен
/A(x)/B(x) = C(x)
Також, ми можемо це записати так:
A(x) = B(x) ∙ C(x)
Виходить, що за допомогою ділення багаточленів ми можемо розкладати їх на множники! На справді за допомогою цього можна розв’язувати рівняння, що ми пізніше і зробимо.
Тепер варто розібратися як відбувається сам процес ділення. Для цього вам обов’язково необхідно навчитися ділити у стовпчик звичайні числа (націло або перетворювати у правильний дріб) та знати формули роботи зі степенем.
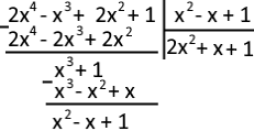
Виконаємо ділення багаточленів:
2(x4 + x2) - x3 + 11 - x + x2
В першу чергу необхідно звести багаточлени до стандартного вигляду:
an xn + an - 1 xn - 1 + ⋯ + a1 x1 + a0
Тобто, у чисельнику варто розкрити дужки. Також у чисельнику та у знаменнику необхідно поставити доданки по мірі спадання степеня у змінної.
Матимемо:
2x4 - x3 + 2x2 + 1x2 - x + 1
Отже, для того щоб поділити багаточлени ми можемо скористатися діленням у стовпчик. Де - ділене, - дільник.

В даній ситуації нам важливі лише два числа. Це з діленого та з дільника Нам необхідно помножити на таке число щоб в результаті отримати Таким числом являється У результат ми записуємо оскільки множимо на додатне число (якщо, множимо на від’ємне, то відповідно по переду буде знак Але враховуючи, що це перше число, то знак можна не ставити.

Отже, нам необхідно знаходити такі числа, які при множенні на максимальний степінь дільника дадуть таке ж число як і у максимального степеня діленого.
Після чого нам варто помножити весь дільник на це число:
Матимемо:

Тепер нам необхідно виконати віднімання багаточленів:
Розкриємо дужки та отримаємо:
Та виконаємо дії з подібними членами (додаємо/віднімемо числа біля яких стоїть змінна з однаковим степенем). Отримаємо:
x3 + 1
Тобто:

Тепер, знову ж таки нам важливі лише два числа. Максимальний степінь дільника це і максимальний степінь з діленого це Отже, дільник нам необхідно помножити на щоб отримати ділене Після чого записуємо як у результат.
Матимемо:

Помножимо весь дільник на Отримаємо:

Виконаємо віднімання багаточленів:
Знову ж таки, відкриваємо дужки та виконуємо дії з подібними доданками:

Повторюємо ще раз наші дії. Як помітно числа з максимальним степенем у діленого та дільника є повністю ідентичними тому нам необхідно помножити дільник на Після чого, записуємо як у результат.

Помножимо на дільник і отримаємо:

Віднімемо багаточлени:

Враховуючи, що ми отримали ділене то ми припиняємо ділити. Це означає, що багаточлени діляться націло. Також ми припиняємо ділити, якщо максимальний степінь діленого є менший за максимальний степінь дільника. В такій ситуації ми маємо остачу.
Отже, матимемо такий результат:
Або ще можемо записати так:
Для того щоб переконатися, що ділення було правильним ви можете розкрити дужки та спростити отриманий вираз:
Якщо під час ділення багаточлена на багаточлен отримали багаточлен та остачу то в такій ситуації ми маємо записати результат так:
/A(x)/B(x) = C(x) + /D(x)/B(x)
Або
A(x) = B(x)∙C(x) + D(x)
Розглянемо на практиці.
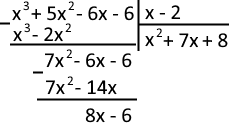
Поділимо багаточлен на
x3 + 5x2 - 6x - 6x - 2
Напишемо це стовпчиком.

Пройдемося ще раз по методу ділення. Нам необхідно з максимального степеня дільника (у нас максимальний степінь у дільника зробити таке ж число як і максимальний степінь діленого (у нас максимальний степінь на початку ділення це діленого
Отже, максимальний степінь дільника нам необхідно помножити на і ми отримаємо такий же вираз як і максимальний степінь діленого Тому, пишемо в результат

Також помножимо на наший дільник:
Матимемо:

Тепер нам необхідно виконати віднімання багаточленів:

Тепер наший максимальний степінь діленого виглядає так І щоб отримати такий же вираз у дільнику, нам необхідно помножити його на У результат відповідно пишемо

Помножимо наший дільник на
7x(x - 2) = 7x2 - 14x

Тепер необхідно виконати віднімання багаточленів.

Помножимо дільник на а в результат записуємо

Множимо дільник на
8(x - 2) = 8x - 16

Виконаємо віднімання багаточленів.

Як помітно, максимальний степінь дільника (оскільки є лише то це означає, що поруч стоїть є меншим за максимальний степінь діленого Тому, ділення припиняється і вже є остачею, а отриманий результат називають не повною часткою.
Отже, отриманий результат ми можемо записати так:
x3 + 5x2 - 6x - 6x - 2 =
Або
Застосування ділення багаточленів для розв’язування рівнянь
Коли ми вивчали розв’язування рівнянь, що зводяться до квадратних, то згадували метод дільників вільного члена.
Пригадаємо. Коли ми маємо рівняння, то вільним членом в ньому виступає число біля якого не має змінної. Наприклад, у рівнянні вільним членом буде Знайдемо усі дільники вільного члена. Це будуть числа Нам необхідно підібрати хоча б одне число при якому рівняння буде правильним. Візьмемо
Отже, нам підходить як розв’язок. Для того щоб знайти наступні розв’язки рівняння ми можемо скористатися діленням багаточленів. У ролі дільника буде а у ролі діленого багаточлен вигляду де будь-який розв’язок рівняння В нашій ситуації замість буде бо як ми вже вияснили при рівняння буде рівне нулю. Отже, дільником буде тобто
Тепер нам необхідно виконати ділення багаточленів та переконатися, що воно буде цілочисельним (поділиться без остачі).

Як помітно остачі у нас не має і це чудово. Можемо записати:
2x3 + 7x2 + 7x + 2x + 1
Або
Тобто, наше рівняння набуде такого вигляду:
А ми знаємо, якщо в результаті множення двох виразів виходить нуль, то таке можливо лише в тій ситуації, коли один з виразів є рівним нулеві. Тобто:
або
Після чого залишиться розв’язати отримані рівняння.
Також при потребі можна розкладати на множники декілька разів.